16+ Shannon Entropy Calculator


Entropy Free Full Text Statistical Inference On The Shannon Entropy Of Inverse Weibull Distribution Under The Progressive First Failure Censoring


Step By Step Simple Script To Compute Shannon Entropy


Entropy Calculator


Afaf Abdel Hady S Research Works Egyptian Russian University Cairo And Other Places


Calculate Text Entropy Online Text Tools


Shannon Entropy Github Topics Github


Matlab Shannon Entropy For A Vector Stack Overflow


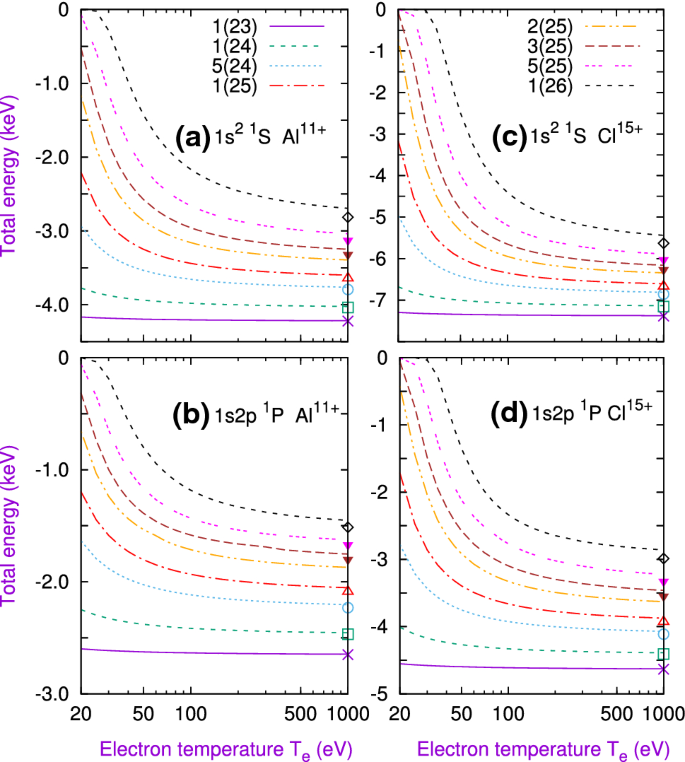
Analysis Of Electronic Properties Of Dense Plasma Embedded Highly Charged Ions Using Temperature Dependent Ion Sphere Model Springerlink


Metal Oxo Cluster Formation Using Ammonium And Sulfate To Differentiate Miv Th U Ce Chemistries Inorganic Chemistry


Synthesis And Characterization Of Cerium Oxo Clusters Capped By Acetylacetonate Inorganic Chemistry


Shannon Entropy Calculator Download Review


Promises And Pitfalls Of Topological Data Analysis For Brain Connectivity Analysis Biorxiv


Shannon S Entropy Formula A And Its Variations According To Download Scientific Diagram


Floating Octothorpe Shannon Entropy


Electric Fields In Catalysis From Enzymes To Molecular Catalysts Acs Catalysis


Ijerph Free Full Text Use Of Geographic Information Systems To Explore Associations Between Neighborhood Attributes And Mental Health Outcomes In Adults A Systematic Review


Shannon Entropy Bpmsg


Image Encryption Scheme With Bit Level Scrambling And Multiplication Diffusion Springerlink

Iklan Atas Artikel

Iklan Tengah Artikel 1

Iklan Tengah Artikel 2

Iklan Bawah Artikel